인제대 해운대백병원·부산백병원 공동 연구, 국제 학술지 Healthcare 게재

[메디컬리포트뉴스 유제원 기자] 나이가 들면 누구나 근육량이 줄어들지만 그로 인해 낙상·생활기능 저하·사망률 증가까지 이어질 정도로 심각해진 상태를 ‘근감소증’이라고 한다. 근감소증은 단순한 노화가 아니라 치료와 관리가 필요한 질환으로 주목받고 있다.
인제대학교 해운대백병원 신경과 박강민 교수와 부산백병원 가정의학과 김진승 교수 공동 연구팀은 뇌 MRI 영상을 활용한 ‘측두근 두께(Temporal Muscle Thickness, TMT)’가 근감소증을 평가할 수 있는 새로운 지표가 될 수 있다는 사실을 규명했다. 또한, 연구팀이 개발한 근감소증 진단기기 ‘올근(Allgeun)’의 유용성도 입증했다.
근감소증은 기존에도 악력검사, 이중에너지 X선 흡수계측법(DXA), 체성분 분석기(BIA) 등을 통해 진단할 수 있었지만 검사 비용, 장비 접근성, 방사선 노출 등의 한계가 있었다. 이에 연구팀은 뇌 MRI에서 쉽게 얻을 수 있는 TMT가 근감소증의 대체 지표가 될 수 있는지를 검증했다.
연구는 2018년부터 2023년까지 해운대백병원과 부산백병원에서 모집한 건강한 성인 28명을 대상으로 진행됐다. 대상자들은 3테슬라 MRI 촬영을 통해 TMT를 측정했으며, 동시에 ‘올근(Allgeun)’을 이용해 △악력(근력) △종아리·허벅지 둘레(근육량) △5회 의자 일어서기 검사(신체 수행능력)를 평가했다.
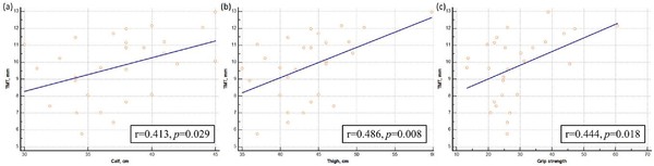
분석 결과, TMT는 종아리·허벅지 둘레와 악력과 유의한 양의 상관관계를 보였다. 이는 TMT가 근육량과 근력을 반영할 수 있는 영상학적 지표임을 시사한다. 반면 신체 수행능력을 평가하는 5회 의자 일어서기 검사와는 뚜렷한 연관성이 나타나지 않았다.

박강민 교수는“측두근 두께는 기존 뇌MRI 자료를 활용해 추가 검사나 방사선 노출 없이 근감소증 위험을 간단히 평가할 수 있다는 장점이 있다”며, “앞으로 노인 환자나 만성질환자에서 근감소증 선별검사로 활용될 수 있을 것”이라고 설명했다.
김진승 교수는“연구팀이 개발한 ‘올근’은 악력, 근육량, 신체 수행능력을 한 번에 측정할 수 있는 소형 기기로, 근감소증의 조기 진단과 중증도 평가에 매우 유용하다”며“향후1차 진료 현장에서 보편적으로 사용할 수 있도록 추가 연구와 제품화가 이어질 것”이라고 덧붙였다.
이번 연구는 TMT가 근감소증의 새로운 영상학적 지표가 될 수 있음을 세계 최초로 건강한 성인을 대상으로 검증했다는 점에서 큰 의미가 있다. 또한, 연구팀의 진단기기 ‘올근’이 임상에서 실용적인 선별·평가 도구로 활용될 수 있음을 보여주었다.
한편, ‘올근’은 임상 현장에서의 사용 편의와 신뢰성을 높이기 위해 핵심 기능을 개선하고, 실제 의료 현장 적용을 검증 중이며, 이번 연구 결과를 담은 논문은 전문학회지인 Healthcare에 “Temporal Muscle Thickness and Sarcopenia Components in Healthy Adults, Validated through Allgeun Diagnostic Tool”이라는 제목으로 게재됐다(IF: 2.7).

